- Version
- Download 1228
- File Size 976.86 KB
- File Count 1
- Create Date April 5, 2023
- Last Updated March 8, 2026
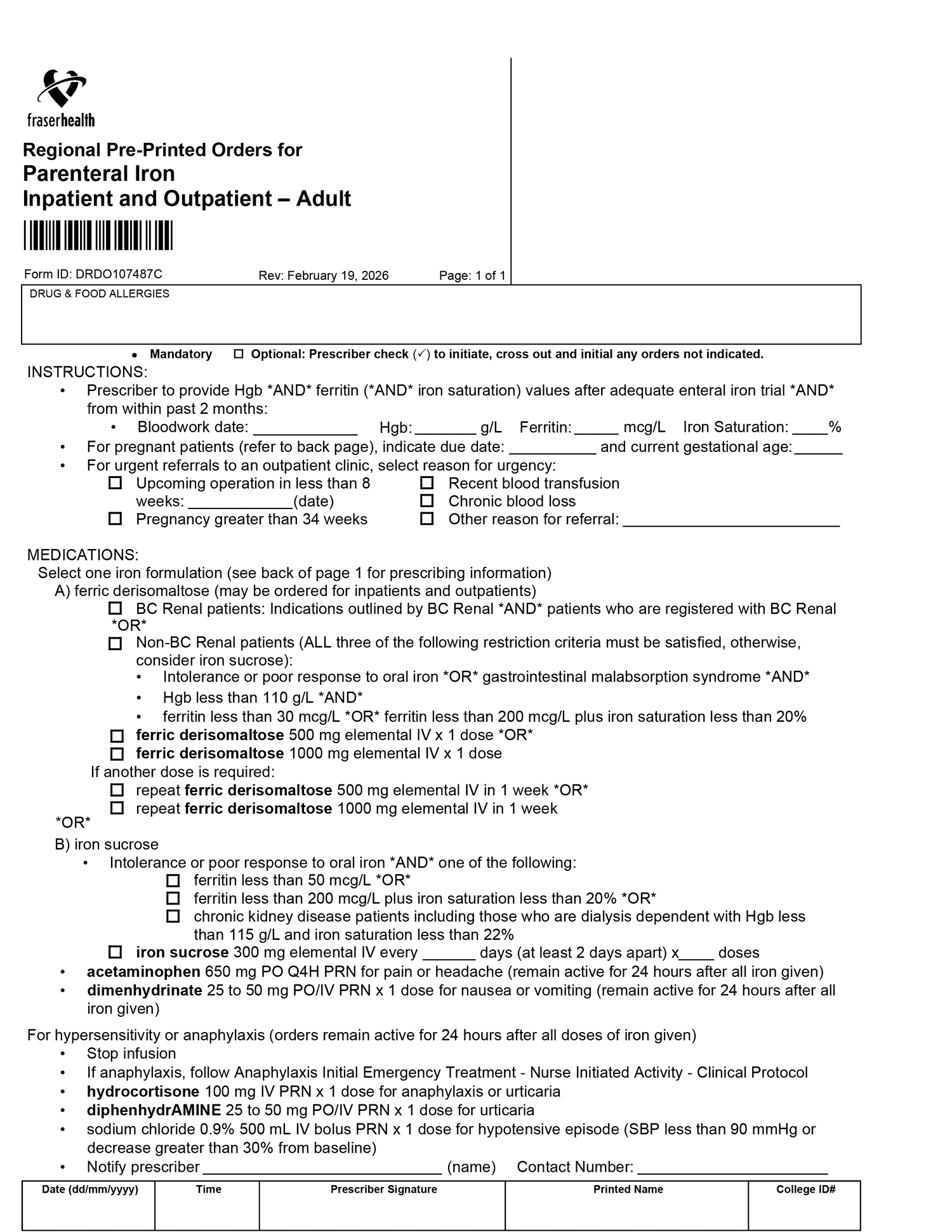
FHA Parenteral Iron PPO 2026
How to Import an e-Form
Use download button below, then import eform into your EMR by following these instructions
updated 2026/03/07/ 17:25, New background Feb 19 2026, updated the jquery reference, updated the parseDate, added EDC, EGA, and EGA Calculator, added fax functionality for Open OSP, removed unnecessary Xbox styling
Updated 2023/04/05/ 18:07 so that the form also works in Chrome. As well, faxcontrol.js added, Xbox and Radio code updated, signature script updated, css updated, imaging script updated, parsedate script updated.
This eForm is protected by the GNU General Public License version 2 (GPLv2)

